Views: 0 Author: Site Editor Publish Time: 2021-06-05 Origin: Site
Ultraviolet rays of different wavelengths correspond to photons of different energies (photons are a special form of matter movement, which is a stream of unconnected particles). The smaller the wavelength, the greater the corresponding photon energy. Wavelength is an important factor affecting the efficiency of water disinfection. UV LEDs can provide multiple wavelengths, making them a new choice for efficient disinfection.
At present, the research wavelength of UV LED inactivating microorganisms in water covers UV-A (315-400nm), UV-B (280-315nm) and UV-C (<280nm). According to the current research, use 365nm UVA-LED to inactivate E. coli, the unit logarithmic inactivation rate requires a UV dose of 13846mJ/cm²; use 254nm UVB-LED, the inactivation dose requires 8 mJ/cm². Therefore, it can be seen that to inactivate E. coli in water, requires a lower UV radiation dose.
Effect of different wavelengths UV LED to inactive the Escherichia coli
UV rays of different wavelengths correspond to photons of different energy. The deeper the wavelength, the greater the corresponding photon energy.

Effect of irradiation time on inactivation Escherichia
It can be seen from the figure that under the action of different UV-LEDs, the inactivation effect gradually increases with the extension of the irradiation time, and the inactivation effect of 275nm UVC LED on E. coli is much better than that of 365nm UVA LED. When the irradiation time is 5 minutes, the logarithm of inactivation of Escherichia coli by 275nm UVC LED can exceed 5, and the logarithm of inactivation of Escherichia coli by 365nm UVA LED is 0.23. When the irradiation time was extended to 60 minutes, the inactivation logarithm of the UVA LED inactivating E. coli only reached about 2.4. It can be seen that compared to UVA LEDs, UVC LEDs have a stronger ability to inactivate E. coli. This is because UVC segment ultraviolet rays are more easily absorbed and reacted by microorganisms.
Effect of UVC radiation dose on the inactivation rate of Escherichia coli
The degree of UV damage to cells or the inactivation rate of microorganisms depends on the microorganisms' absorption of UV dose and resistance to UV. Therefore, the UVC LED radiation dose will be an important factor influencing the logarithmic value of E. coli inactivation, where the ultraviolet radiation dose is equal to the product of the ultraviolet radiation intensity and the radiation time.

Effect of irradiation intensity on inactivation of Escherichia
It can be seen from the figure that under the action of different UV-LEDs, the inactivation effect gradually increases with the extension of the irradiation time, and the inactivation effect of 275nm UVC LED on E. coli is much better than that of 365nm UVA LED. When the irradiation time is 5 minutes, the logarithm of inactivation of Escherichia coli by 275nm UVC LED can exceed 5, and the logarithm of inactivation of Escherichia coli by 365nm UVA LED is 0.23. When the irradiation time was extended to 60 minutes, the inactivation logarithm of the UVA LED inactivating E. coli only reached about 2.4. It can be seen that compared to UVA LEDs, UVC LEDs have a stronger ability to inactivate E. coli. This is because UVC segment ultraviolet rays are more easily absorbed and reacted by microorganisms.
Effect of UVC radiation dose on the inactivation rate of Escherichia coli
The degree of UV damage to cells or the inactivation rate of microorganisms depends on the microorganisms' absorption of UV dose and resistance to UV. Therefore, the UVC LED radiation dose will be an important factor influencing the logarithmic value of E. coli inactivation, where the ultraviolet radiation dose is equal to the product of the ultraviolet radiation intensity and the radiation time.

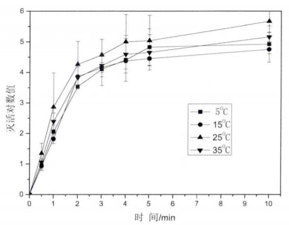
Effect of temperature on inactivation of Escherichia
In general, in the range of 5°C to 35°C, temperature has little effect on the inactivation rate of E. coli. It shows a higher inactivation rate under 25°C. The reason may be that changes in temperature affect the luminescence of UVC LEDs. Intensity. As the temperature rises, the semiconductor luminescence intensity decreases, and the inactivation of Escherichia coli will decrease accordingly. If the temperature is within the range of 35℃, the probability of this effect is low, and the effect on the bactericidal effect is also limited.
In addition, UV sterilization mainly damages the DNA of microorganisms through the formation of thymine dimers (CPDS). Under low temperature conditions, the number of thymine dimers is significantly reduced, and the damage of ultraviolet light is reduced, which will lead to a decrease in the inactivation rate of E. coli. Therefore, in the range of 5℃~35℃, too high or too low temperature will reduce the ability of UVC LED to inactivate E. coli to a certain extent, but this influence range is not large.
The influence of pH value on the inactivation rate of Escherichia coli

Effect of pH value on on inactivation of Escherichia
It can be seen from the figure that the inactivation effect of Escherichia coli is not much different under different pH conditions. The inactivation logarithm of Escherichia coli had no significant difference under the conditions of different pH values within 1 minute of the irradiation time, and after 1 minute, the logarithmic value of inactivation of E. coli was slightly lower when the pH value was 5. When the irradiation time is 10 minutes, the logarithmic value of inactivation exceeds 5 under the conditions of each pH value. Therefore, in general, the pH value has little effect on UVC LED inactivation of E. coli, but the inactivation effect under acidic conditions is slightly worse.
As a new type of ultraviolet light source, UV LED has many advantages compared with traditional mercury lamp ultraviolet light source. UV LED itself does not contain mercury, and UV LEDs with a specific spectral range will not produce ozone during use, so it is a safer and more environmentally friendly alternative to traditional UV light sources; UV LEDs have high energy and stable light output. It has low energy consumption and less heat generation, so it is a more efficient alternative to traditional UV light sources. UV LED can be lit instantly without preheating, has a long service life and is not affected by the number of times of opening and closing, so it is a replacement for traditional UV LEDs. A more economical choice for UV light sources. At present, the application of UV LED in the field of water treatment is still very limited, and it needs further research and development.
